| Pallets Packing | 20'FCL | 40'FCL | ||
| With | Without | With | Without | |
| 
                            
                              25KG/塑料桶
                            
                           | 
                            
                              
                               --
                              
                            
                           | 
                            
                              
                               --
                              
                            
                           | 
                            
                              
                                --
                              
                            
                           | 
                            
                              
                                --
                              
                            
                           | 
| 
                            
                              270KG/塑料桶
                            
                           | 
                            
                              
                                21.6 MT
                              
                            
                           | 
                            
                              
                               --
                              
                            
                           | 
                            
                              
                                --
                              
                            
                           | 
                            
                              
                                --
                              
                            
                           | 
2-膦酸丁烷-1,2,4-三羧酸PBTCA
产品描述:
PBTCA含磷量低,由于它具有膦酸和羧酸的结构特性,使其具有良好的阻垢和缓蚀性能,是常用的阻垢缓蚀剂,也是一种稳定的螯合剂,能提高锌的溶解度,耐氯的氧化性能好,复配协同性好。
【CAS】 37971-36-1
别名:2-膦酸基-1,2,4-三羧酸丁烷
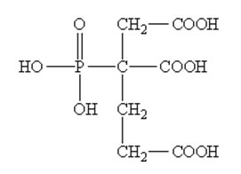
分子式:C7H11O9P
分子量:270.13
结构式:
产品性能:
2-膦酸丁烷-1,2,4-三羧酸PBTCA含磷量低,由于它具有膦酸和羧酸的结构特性,使其具有良好的阻垢和缓蚀性能,优于常用的有机膦酸,特别在高温下阻垢性能远优于常用的有机膦酸,能提高锌的溶解度,耐氯的氧化性能好,复配协同性好。
质量指标

应用范围和使用方法
PBTCA在高效阻垢缓蚀剂复配中应用最广,是性能最好的产品之一,也是锌盐的优良稳定剂。广泛应用于循环冷却水系统和油田注水系统的缓蚀阻垢,特别适合与锌盐、共聚物复配使用,可用于高温、高硬、高碱及需要高浓缩倍数下运行的场合,PBTCA在洗涤行业中可作螯合剂及金属清洗剂。水处理剂PBTCA一般与锌盐、共聚物、有机膦、唑类等其它水处理剂复配使用;如单独使用投加剂量为5~15mg/L。
包装与储存
PBTCA采用塑料桶包装,每桶25Kg或250Kg。贮存于室内阴凉处。贮存期十个月。
安全防护
PBTCA为弱酸性,使用时应佩戴劳动防护用品,应避免与眼睛、皮肤接触;一旦溅到身上,应立即用大量水冲洗。
阻垢缓蚀剂,膜阻垢剂,水处理剂,螯合剂。