浙江天台药业股份有限公司
浙江天台药业股份有限公司
主营产品:
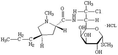
盐酸克林霉素
盐酸克林霉素 / CAS 21462-39-5
- 基本概述
- 产品详情
- 获取样品
