邹平县东方化工有限公司
邹平县东方化工有限公司
主营产品:
羟基乙叉二膦酸 / 氨基三亚甲基膦酸 / 二乙烯三胺五甲叉膦酸 / 2-膦酸丁烷-1,2,4-三羧酸 / 依替膦酸钠 / 羟基乙叉二膦酸盐
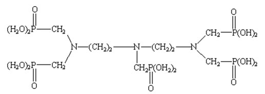
二乙烯三胺五亚甲基膦酸DTPMPA / CAS 15827-60-8
- 基本概述
- 产品详情
- 获取样品

